1、开关管损耗分析
带RCD吸收的反激变换器等效电路及稳态工作波形如下:

图1 反激变换器等效电路

图2 DCM模式下开关管电压电流波形

图3 CCM模式下开关管电压电流波形
驱动损耗
由MOSFET的Cgs、Cgd寄生电容引起的驱动损耗为:

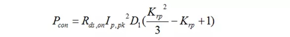
导通损耗
MOSFET导通后,Rds,on引起的导通损耗为:

其中 D1为导通占空比、Krp是波动电流值与Ip,pk的比值。
开关损耗
由图2可知, DCM模式为零电流开通,开关损耗包括寄生电容Ceq放电损耗和关断瞬态电压与电流的交叉损耗:

由图3可知, CCM模式下的开关损耗包括Ceq放电损耗、开通瞬态及关断瞬态电压与电流的交叉损耗:

备注:电压电流交叉损耗系数通常为1/6(阻性负载)、1/2(感性负载)。实测反激变换器开关管电压电流波形,适用于1/6系数。
针对Rds,on引起的导通损耗,改善措施有:2、改善措施
采用更小Rds,on的MOSFET;
优化Krp因子:增大变压器匝比或电感感量Lp,以减小流过开关管的电流峰值及有效值。
由于驱动损耗、开关损耗均与开关频率fs成正比,fs应自适应市电或负载的变化。
以图4所示PN8160控制策略为例:
市电低压下(如115Vac),PWM频率为85kHz,以减小变压器尺寸;市电高压下(如230Vac),PWM频率降低为65kHz,可减小开关损耗;
随着负载降低,芯片分别进入PFM和Burst Mode,通过降低开关频率,减小MOSFET及其它器件的开关损耗,提高全负载段转换效率。

图4 PN8160多工作模式控制策略
采用谷底开通技术降低Ceq放电损耗:

图5 谷底开通技术
如图5所示,在DCM模式下,消磁结束后存在Lp与Ceq振荡,振荡周期为:

常见的谷底开通控制算法有:
计算振荡周期Tosc,过零后延时1/4振荡周期后开通开关管,此算法不受Lp、Ceq影响,实现精确谷底开通;
不计算振荡周期Tosc,过零后经过固定延时即开通开关管,此算法受Lp、Ceq影响,可在谷底附近开通。
3、实验验证
12V2A电源基于集成690V Smart DMOS的多工作模式次边反馈芯片——PN8160设计,样机如下:

图6 12V2A电源实物图
Copyright © 2013 深圳市奥伟斯科技有限公司版权所有 All Right Reserved ICP备:粤ICP备12049165号