反激变换器的简化分析模型如图1所示:Q1导通时,D1截止,变压器存储能量;Q1截止时,D1导通,变压器释放能量。

图1 反激变换器简化分析模型

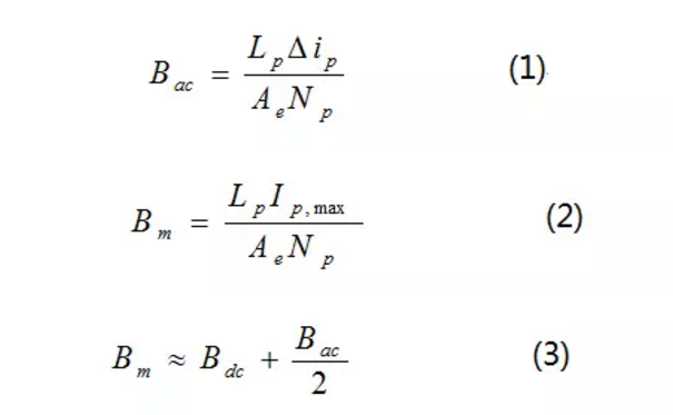
图2 反激变压器磁化曲线
反激变压器的磁化曲线如图2所示,可见变压器工作在第一象限,由电磁感应定理可知:

备注:Bm须小于磁芯材料的限制值Bs,防止变压器饱和损坏Q1。
磁芯损耗与材料材质、开关频率fs,交流磁通密度Bac、工作温度等因素有关。变压器设计时,通常查图表获得单位磁芯损耗Pcv(如图3所示),进而估算整个磁芯损耗:

图3 Pcv特性曲线(TDK PC95磁芯材料)
备注:对于反激变压器,查询Pcv图表时,Bm为Bac的一半。
由 (4)式可知,降低磁芯损耗的常用措施有:
选用单位磁芯损耗Pcv较小的磁芯材料,如PC95;
传输相同功率的情况下,选用Ve较小的磁芯,如增大磁芯Ae值。
变压器绕组损耗简化分析模型如图4所示, 通过分段线性化分析可知,反激变压器本质是一个带匝比的电感器,磁化时通过初级绕组储存能量,去磁时通过次级绕组释放能量。

图4 变压器绕组损耗简化分析模型

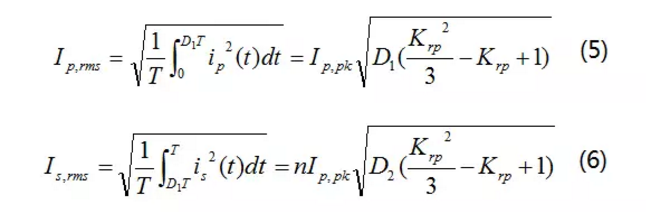
图5 变压器原副边电流波形
变压器原副边电流波形如图5所示,电流有效值为:

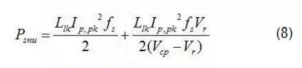
绕组Rp、Rs引起的铜损如下:

漏感Ls引起的RCD吸收损耗为:

由 (7)、(8)式可知,降低绕组损耗的常用措施有:
减小绕线电阻,如采用大Ae值磁芯以减小绕线匝数;
减小绕组电流有效值,如增大电感感量以减小Krp因子;
改善变压器耦合系数,减少漏感。
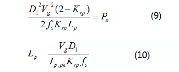
变压器电气参数决定整个反激变换器工作状态: 匝比(Np/Ns)决定了原副边的电压应力;感量Lp 决定了原副边电流有效值及开关频率fs。

随着美国DoE VI和欧洲CoC V5 Tier 2的实施,电源能效设计难度增大。变压器电气参数设计应与芯片控制策略相结合,从传统的worst case单点设计转向多工作点优化设计。
下面分别以PSR(图6)和SSR(图7)举例说明:

图6 PN8370F控制策略

图7 PN8160控制策略
12V2A电源基于集成690V Smart DMOS的多工作模式次边反馈芯片——PN8160设计,样机如下:

上一篇:半导体产业链上下游供应商梳理!
Copyright © 2013 深圳市奥伟斯科技有限公司版权所有 All Right Reserved ICP备:粤ICP备12049165号